Analytical Sensing Technology Available to Food and Beverage Industries

Spreeta is a combination of TI's sensor and digital signal processing (DSP) solutions technology. The technology combines multiple discrete components typically found in lab-based Surface Plasmon Resonance (SPR) equipment into a single sensor.
Available in a handheld environment, the technology redefines the possibilities of index of refraction and biosensing technologies in applications that include refractometry, diagnostics, quality control, and distributed process control.

Refractive Index Sensing with Surface Plasmon Resonance
Surface plasmons are charge density waves that propagate along the surface of a metal. Ordinarily, it is difficult to couple light into surface plasmons for a non-zero wavenumber. In the Kretschmann geometry (see figure), though, it is possible to couple light into surface plasmons.
In this geometry, light passes through a prism and is incident (with a certain angle of incidence) on a thin metal film. An evanescent wave propagates through the metal and excites surface plasmons on the other side of the film, which is immersed in some liquid. This situation is called surface plasmon resonance (SPR): light is absorbed and surface plasmons are created. Only transverse magnetic polarized light (the electric field polarized in the plane of incidence) may couple to surface plasmons.

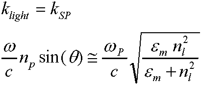
Surface plasmon resonance occurs when the component of the light wave-vector matches the wave-vector of the surface plasmon.

Sensing
One can achieve SPR by varying the frequency of the light, or by varying the angle of incidence. Either way, at some point resonance occurs: i.e., the reflected intensity of the light drops dramatically. The position of the SPR is extremely sensitive to the refractive index of the sample. Hence, SPR is often touted as being an excellent technique for accurately measuring refractive indices.

To help systems developers experience the capabilities of the Spreeta technology, TI offers a complete miniature integrated surface plasmon resonance Evaluation Kit.

The Kit includes a Spreeta sensor, flow cell, and all of the components needed to interface the sensor to a PC, including a sensor control box, sensor cable, serial communications cable and software.
For more information contact Texas Instruments, Microcomponents Technology Center, P.O. Box 655012, MS 945, Dallas, TX. Tel: 972-995-4561; Fax: 972-995-8787.
Edited by Pam Ahlberg